前言
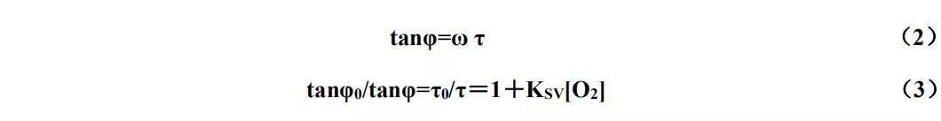
氧是一種重要的元素,其以不同的形式在人們的生產生活以及自然環境中起到了重要的作用。其中以分子形式存在于水中,以每升水中所含氧氣的毫克數來表示的量稱之為溶解氧(DO)濃度。溶解氧是保證水生物生存的重要條件之一,同時也是用來衡量水質是否受污染的重要指標之一。我們可以通過監測和研究水中溶解氧的多少及其變化規律來判斷水體的健康程度以及水體的自凈能力。例如,在水質監測過程中,如果溶解氧含量過高,則會導致水中生物氧氣中毒,而溶解氧含量過低時,水體中的厭氧菌就會很快繁殖,有機物因腐敗而使水體變黑、發臭。在污水處理中,溶解氧的含量高低影響到細菌的存活以及活躍度,從而影響污水處理的有效程度。因此,溶解氧的檢測是具有重要意義的。 目前測量溶解氧的方法主要有碘量法、電化學法、分光光度法、氣相色譜法、原子吸收法和熒光分析法等。其中應用最廣泛的主要是碘量法、電化學法和熒光分析法。碘量法雖然是國際上公認的測定水中溶解氧的方法,也是測定海水中溶解氧的首選方法,但是其只能離線測定、費時費力、操作復雜、無法對溶解氧濃度變化做出及時的反饋以及極易受環境因素的影響,從而限制了其廣泛應用。電化學法,即 Clark 電極法也是國標推薦的溶解氧測試方法之一。該方法雖然能實現實時在線測量,但由于水質中可能存在有機物、油類、鹽類等物質會導致薄膜的阻塞老化及電極的腐蝕等從而影響其測量精度及響應時間。近十多年來,基于熒光猝滅原理所制備的溶解氧傳感器由于其具有響應時間快、不耗氧、無參比電極、不受磁場干擾等優點引起了越來越多人的興趣和關注。我們基于熒光分析法制備了一種能應用于實際檢測中的熒光法溶解氧傳感器,并對其結構及性能等進行了討論。 1 熒光膜的研究 熒光法溶解氧傳感器利用氧對一些物質的具有熒光猝滅的作用,從而物質的熒光強度及壽命降低,溶解氧濃度與光強及熒光壽命的關系可用Stern-Volmer 方程來表示: 上式中,I0和 τ0 分別為無氧時的熒光強度和熒光壽命,I和τ為有氧時的熒光強度和熒光壽命,KSV為猝滅劑的猝滅常數,[O2]是溶解氧濃度。由(1)式可知,通過測量熒光強度或者熒光壽命,就可以計算出溶解氧的濃度。雖然利用物質的熒光強度來計算氧含量比較簡單,但是由于物質的熒光強度容易受到外界因素如光、溫度等的影響,從而導致測量誤差。而利用熒光壽命測量對比熒光強度的測量雖然結構上會較為復雜,但熒光壽命是熒光物質的本征參量,對熒光壽命的測量不會受太多外界因素變化的影響,所以具有很好的抗干擾能力。 我們研究的溶解氧傳感器采用相位法來測量熒光壽命,相位法測量中所用的光源經過正弦調制后被激勵發光,熒光物質被該束光激發產生的相應熒光也是按照正弦波規律變化的,光電探測器探測到的熒光相對于調制光會有一滯后相移φ,φ與熒光壽命時間τ有如公式(2)關系: 其中ω是正弦調制信號的角速度:ω=2πf;而由于激發光激勵所產生的熒光與激發光之間會有一定的時間差。我們可以看作當某一特定的頻率的光照射在氧敏感膜上時,氧敏感膜中熒光物質發出的激發光與發射光二者之間有一定的滯后相移,而這一定的滯后相移又與熒光壽命成某種關系如公式(3),因此,可以通過測量激發光和發射光之間的滯后相移來實現對熒光的測量。 1.1化學試劑及主要儀器 正硅酸乙酯(TEOS)采購自阿拉丁試劑網;二甲基甲氧基硅烷(DiMe-DMOS)采購自阿拉丁試劑網;四氫呋喃采購自阿拉丁試劑網;N,N-二甲基甲酰胺采購自國藥集團化學試劑有限公司;4,7-二苯基-1,10-菲咯啉釕(Ru(dpp)3Cl2)采購自阿拉丁試劑網。 4A磁力攪拌器,供應商是鞏義市予華儀器責任有限公司;KW-4A勻膠機,供應商是中國科學院微電子研究所;CL-200F光譜儀,供應商是杭州科興光電有限公司。 1.2 實驗步驟 取一定體積比的TEOS與DiMe-DMOS于錐形瓶中加入適量的去離子水和0.01 mol/L的HCl,常溫攪拌,攪拌過程中再加入一定質量的Ru(dpp)3Cl2,避光攪拌6 h。取所制備的凝膠液在經過表面處理的玻璃基材上旋涂成膜,于烘箱中固化24 h,取出后避光保存以備用。 2 傳感器設計 2.1 系統結構設計 傳感器系統結構包括以下三部分:熒光膜模塊、光路模塊、電路模塊,如圖1所示: 圖1 傳感器系統結構 整個傳感器的工作過程為:一束特定波長的激發光源以方波調制的形式發出光線照射在氧敏感膜上,光化學傳感膜中的熒光物質受到激發而發出相應特定波長的熒光,由于氧敏感膜與被測水樣相接觸,水中的溶解氧將對熒光產生淬滅作用,熒光壽命被縮短,熒光強度被降低,經淬滅后的熒光透過光學系統中的濾光片傳送到光電探測裝置,熒光信號經過光電轉換,光電信號經過放大濾波后進入相位差檢測模塊,從而得到熒光相對于激發光的滯后相位對應的電壓值,利用該滯后相位電壓值與熒光壽命成正切關系得到定標曲線,從而得到溶解氧濃度的信息。 2.2 模塊設計 光路設計部分如圖2所示: 圖2 光路設計 電路設計包括以下各部分:光電探測模塊、信號調節模塊、相位差檢測模塊、A/D轉換模塊、單片機控制模塊以及通信接口模塊。電路設計的總流程框圖如圖3所示: 圖3 電路框圖 采用雙光路通道的設計,紅色LED作為參考光,可以有效消除光程和電路上的占用的延遲時間,誤差降到最低。測量熒光滯后相位的部分,由于該滯后相位相對較小,因此選用正弦波幅相精密檢測芯片AD8302,該芯片精度達到10 mv每度,這樣可以進一步提高溶解氧濃度的測量精度和測量穩定性。 3 實驗結果 由于溶解氧的濃度極低,應嚴格保證定標的精度。純氧和純氮通入國家標準物質中心研制的標準氣體稀釋裝置,混合配比不同濃度的氧氣通入水中,標定容器應氣密性良好且內置攪拌器。結果如表所示。 從表1得知,所制備的溶解氧傳感器所顯示的溶解氧濃度的猝滅時間≤30 s,恢復時間≤60 s(在線性范圍內)。一周內測試其檢測上下限(線性溶解氧濃度的最低與最高值測2次/天),誤差≤1 %。最低檢出限為0.2 μg/ml,在0.3-20 μg/ml范圍內具有良好的線性關系,傳感器的輸出值與水中溶解氧的濃度成正比關系,且在線性測量范圍內線性誤差≤±5%。 4 結論 本熒光溶解氧傳感器具有良好的穩定性、重復性,體積小,不易損壞,較高的靈敏度,可實現長期在線檢測等優點且不易受外界因素(pH、鹽分等)的干擾,測量結果穩定、精確,在醫療、臨床醫學、環境與水質檢測等領域都有著廣泛的應用價值及其易于實現商品化生產。









